How does organisational and project complexity and resourcing factors influence safety risks in construction?.
I just summarised a paper that explored this; post in the next week or two.
Unsurprisingly, they found that:
· “Resources on site” is strongly determinant in explaining influences on risk variables because it affects all the risk variables in their model
· Site structure complexity (including structure and organisation, and safety resources on site) has stronger effect on risk variables than other factors related to intrinsic characteristics of the work, site or companies
· Thus, “the complexity and resource factors that depend on companies are those that have the greatest impact on risks” (p270)
Therefore, “the more complex the construction site is, the higher the risk levels are identified in it, and more resources are needed to control the risks” (p276).

This effect was strongest in its relationship to fall from heights – a ubiquitous risk in construction.
It’s not the first study to explore construction complexity on risk, but its large sample size is certainly a plus.
Interestingly, they argue that measuring and monitoring organisational and project complexity and resources:
a) provides another avenue for risk mitigation, and
b) provides another stream of leading indicators.
On the latter, new indicators can be developed to track project complexity, and resources in order to predict riskier projects, and drive localised risk reductions.
The paper is open access so you can read it.

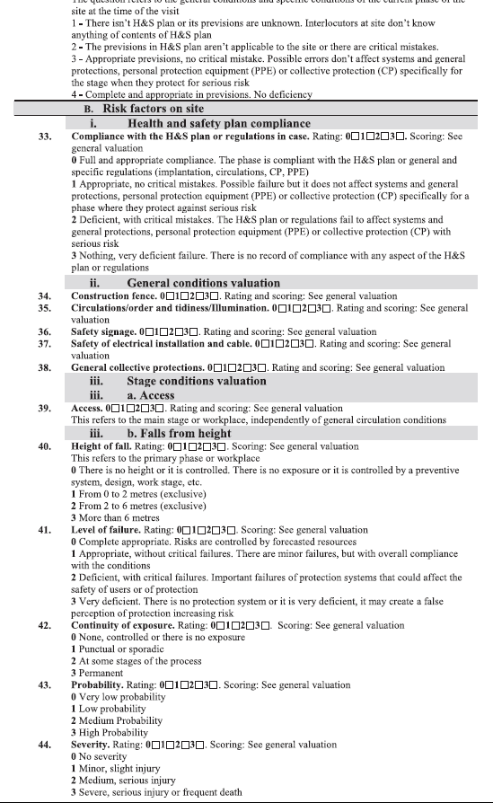
You can also find the risk assessment tool that they used—called CONSRAT (Construction Sites Risk Assessment Tool; extract in images 3 & 4. It’s 100 questions long so I can only provide a small snippet). It’s located in another paper, link below.


Reference above: Forteza, F. J., Carretero-Gómez, J. M., & Sese, A. (2022). Journal of safety research, 81, 270-282.
Ref to their tool: Forteza Oliver, F. J., Sesé Abad, A. J., & Carretero Gómez, J. M. (2019). Safety Science, 2016, vol. Vol 89, p. 338-354.
1. Study link: https://doi.org/10.1016/j.jsr.2022.03.004
2. Link to their tool: https://dspace.uib.es/xmlui/bitstream/handle/11201/148788/549466.pdf?sequence=1
One thought on “Construction complexity and resourcing on safety risks”